[version 13][version 12][version 11][version 10][version 9][version 8][version 7][version 6]
2.3 Stress analysis of a plate with a hole
This tutorial describes how to pre-process, run
and post-process a case involving linear-elastic, steady-state
stress analysis on a square plate with a circular hole at its
centre. The plate dimensions are: side length 4
and radius
0.5
. It is loaded with a uniform traction of
10 
over its left and right faces as shown in
Figure 2.20
. Two symmetry planes can
be identified for this geometry and therefore the solution domain
need only cover a quarter of the geometry, shown by the shaded area
in Figure 2.20
.
The problem can be approximated as 2D since the load is applied in the plane of the plate. In a Cartesian coordinate system there are two possible assumptions to take in regard to the behaviour of the structure in the third dimension: (1) the plane stress condition, in which the stress components acting out of the 2D plane are assumed to be negligible; (2) the plane strain condition, in which the strain components out of the 2D plane are assumed negligible. The plane stress condition is appropriate for solids whose third dimension is thin as in this case; the plane strain condition is applicable for solids where the third dimension is thick.
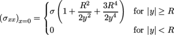
An analytical solution exists for loading of an infinitely large, thin plate with a circular hole. The solution for the stress normal to the vertical plane of symmetry is
![]() |
(2.7) |
The example uses the solidDisplacement modular solver. The user should go to their run directory, copy the plateHole case from the $FOAM_TUTORIALS/solidDisplacement directory and finally change into the plateHole case directory.
run
cp -r $FOAM_TUTORIALS/solidDisplacement/plateHole .
cd plateHole
2.3.1 Mesh generation
The domain consists of four blocks, some of
which have arc-shaped edges. The block structure for the part of
the mesh in the
plane is shown in Figure 2.21. As
already mentioned in section 2.1.2
, all geometries are
generated in 3D in OpenFOAM even if the case is to be as a 2D
problem. Therefore a dimension of the block in the
direction has to be
chosen; here, 0.5
is selected. It does not affect the
solution since the traction boundary condition is specified as a
stress rather than a force, thereby making the solution independent
of the cross-sectional area. The user should open the blockMeshDict file in an editor, as listed
below.
16convertToMeters 1; 17 18vertices 19( 20 (0.5 0 0) 21 (1 0 0) 22 (2 0 0) 23 (2 0.707107 0) 24 (0.707107 0.707107 0) 25 (0.353553 0.353553 0) 26 (2 2 0) 27 (0.707107 2 0) 28 (0 2 0) 29 (0 1 0) 30 (0 0.5 0) 31 (0.5 0 0.5) 32 (1 0 0.5) 33 (2 0 0.5) 34 (2 0.707107 0.5) 35 (0.707107 0.707107 0.5) 36 (0.353553 0.353553 0.5) 37 (2 2 0.5) 38 (0.707107 2 0.5) 39 (0 2 0.5) 40 (0 1 0.5) 41 (0 0.5 0.5) 42); 43 44blocks 45( 46 hex (5 4 9 10 16 15 20 21) (10 10 1) simpleGrading (1 1 1) 47 hex (0 1 4 5 11 12 15 16) (10 10 1) simpleGrading (1 1 1) 48 hex (1 2 3 4 12 13 14 15) (20 10 1) simpleGrading (1 1 1) 49 hex (4 3 6 7 15 14 17 18) (20 20 1) simpleGrading (1 1 1) 50 hex (9 4 7 8 20 15 18 19) (10 20 1) simpleGrading (1 1 1) 51); 52 53edges 54( 55 arc 0 5 (0.469846 0.17101 0) 56 arc 5 10 (0.17101 0.469846 0) 57 arc 1 4 (0.939693 0.34202 0) 58 arc 4 9 (0.34202 0.939693 0) 59 arc 11 16 (0.469846 0.17101 0.5) 60 arc 16 21 (0.17101 0.469846 0.5) 61 arc 12 15 (0.939693 0.34202 0.5) 62 arc 15 20 (0.34202 0.939693 0.5) 63); 64 65boundary 66( 67 left 68 { 69 type symmetryPlane; 70 faces 71 ( 72 (8 9 20 19) 73 (9 10 21 20) 74 ); 75 } 76 right 77 { 78 type patch; 79 faces 80 ( 81 (2 3 14 13) 82 (3 6 17 14) 83 ); 84 } 85 down 86 { 87 type symmetryPlane; 88 faces 89 ( 90 (0 1 12 11) 91 (1 2 13 12) 92 ); 93 } 94 up 95 { 96 type patch; 97 faces 98 ( 99 (7 8 19 18) 100 (6 7 18 17) 101 ); 102 } 103 hole 104 { 105 type patch; 106 faces 107 ( 108 (10 5 16 21) 109 (5 0 11 16) 110 ); 111 } 112 frontAndBack 113 { 114 type empty; 115 faces 116 ( 117 (10 9 4 5) 118 (5 4 1 0) 119 (1 4 3 2) 120 (4 7 6 3) 121 (4 9 8 7) 122 (21 16 15 20) 123 (16 11 12 15) 124 (12 13 14 15) 125 (15 14 17 18) 126 (15 18 19 20) 127 ); 128 } 129); 130 131 132// ************************************************************************* //
Until now, we have only specified straight edges in the geometries of previous tutorials but here we need to specify curved edges. These are specified under the edges keyword entry which is a list of non-straight edges. The syntax of each list entry begins with the type of curve, including arc, simpleSpline, polyLine etc., described further in section 5.4.3 . In this example, all the edges are circular and so can be specified by the arc keyword entry. The following entries are the labels of the start and end vertices of the arc and a point vector through which the circular arc passes.
The blocks in this blockMeshDict do not all have the same orientation. As can be
seen in Figure 2.21
the
direction of block 0 is
equivalent to the
direction for block 4. This means care must be taken
when defining the number and distribution of cells in each block so
that the cells match up at the block faces.
Six patches are defined: one for each side of the plate, one for the hole and one for the front and back planes. The left and down patches are both a symmetry plane. Since this is a geometric constraint, it is included in the definition of the mesh, rather than being purely a specification on the boundary condition of the fields. Therefore they are defined as such using a special symmetryPlane type as shown in the blockMeshDict.
The frontAndBack patch represents the plane which is ignored in a 2D case. Again this is a geometric constraint so is defined within the mesh, using the empty type as shown in the blockMeshDict. For further details of boundary types and geometric constraints, the user should refer to section 5.3 .
The remaining patches are of the regular patch type. The mesh should be generated using blockMesh and can be viewed in paraFoam as described in section 2.1.3 . It should appear as in Figure 2.22 .
2.3.2 Boundary and initial conditions
Once the mesh generation is complete, the initial field with boundary conditions must be set. For a stress analysis case without thermal stresses, only displacement D needs to be set. The 0/D is as follows:
16dimensions [0 1 0 0 0 0 0]; 17 18internalField uniform (0 0 0); 19 20boundaryField 21{ 22 left 23 { 24 type symmetryPlane; 25 } 26 right 27 { 28 type tractionDisplacement; 29 traction uniform (10000 0 0); 30 pressure uniform 0; 31 value uniform (0 0 0); 32 } 33 down 34 { 35 type symmetryPlane; 36 } 37 up 38 { 39 type tractionDisplacement; 40 traction uniform (0 0 0); 41 pressure uniform 0; 42 value uniform (0 0 0); 43 } 44 hole 45 { 46 type tractionDisplacement; 47 traction uniform (0 0 0); 48 pressure uniform 0; 49 value uniform (0 0 0); 50 } 51 frontAndBack 52 { 53 type empty; 54 } 55} 56 57// ************************************************************************* //
Firstly, it can be seen that the displacement
initial conditions are set to
. The left and down patches must be both of symmetryPlane type since they are specified
as such in the mesh description in the constant/polyMesh/boundary file. Similarly
the frontAndBack patch is
declared empty.
The other patches are traction boundary
conditions, set by a specialist tractionDisplacement boundary type. The
traction boundary conditions are specified by a linear combination
of: (1) a boundary traction vector under keyword traction; (2) a pressure that produces a traction normal to
the boundary surface that is defined as negative when pointing out
of the surface, under keyword pressure. The up and
hole patches are zero traction
so the boundary traction and pressure are set to zero. For the
right patch the traction should
be
and the pressure should be 0
.
2.3.3 Physical properties
The physical properties for the case are set in the physicalProperties dictionary in the constant directory, shown below:
16 17rho 18{ 19 type uniform; 20 value 7854; 21} 22 23nu 24{ 25 type uniform; 26 value 0.3; 27} 28 29E 30{ 31 type uniform; 32 value 2e+11; 33} 34 35Cv 36{ 37 type uniform; 38 value 434; 39} 40 41kappa 42{ 43 type uniform; 44 value 60.5; 45} 46 47alphav 48{ 49 type uniform; 50 value 1.1e-05; 51} 52 53planeStress yes; 54thermalStress no; 55 56 57// ************************************************************************* //
The file includes mechanical properties of steel:
-
Density rho = 7854

-
Young’s modulus E =

-
Poisson’s ratio nu = 0.3
The planeStress switch is set to yes to adopt the plane stress assumption in this 2D case. The solidDisplacementFoam solver may optionally solve a thermal equation that is coupled with the momentum equation through the thermal stresses that are generated. The user specifies at run time whether OpenFOAM should solve the thermal equation by the thermalStress switch (currently set to no). The thermal properties are also specified for steel for this case, i.e.:
-
Specific heat capacity Cp = 434



-
Thermal conductivity kappa = 60.5



-
Thermal expansion coefficient alphav =

For thermal calculations, the temperature field variable T is present in the 0 directory.
2.3.4 Control
As before, the information relating to the
control of the solution procedure are read in from the controlDict dictionary. For this case, the startTime is 0
. The time step is not
important since this is a steady state case; in this situation it
is best to set the time step deltaT to 1 so it simply acts as an
iteration counter for the steady-state case. The endTime, set to 100, then acts as a limit
on the number of iterations. The writeInterval can be set to
.
The controlDict entries are as follows:
16 17solver solidDisplacement; 18 19startFrom startTime; 20 21startTime 0; 22 23stopAt endTime; 24 25endTime 100; 26 27deltaT 1; 28 29writeControl timeStep; 30 31writeInterval 20; 32 33purgeWrite 0; 34 35writeFormat ascii; 36 37writePrecision 6; 38 39writeCompression off; 40 41timeFormat general; 42 43timePrecision 6; 44 45runTimeModifiable true; 46 47// ************************************************************************* //
2.3.5 Discretisation schemes and linear-solver control
Let us turn our attention to the fvSchemes dictionary. Firstly, the problem we are analysing is steady-state so the user should select SteadyState for the time derivatives in timeScheme. This essentially switches off the time derivative terms. Not all solvers, especially in fluid dynamics, work for both steady-state and transient problems but solidDisplacementFoam does work, since the base algorithm is the same for both types of simulation.
The momentum equation in linear-elastic stress analysis includes several explicit terms containing the gradient of displacement. The calculations benefit from accurate and smooth evaluation of the gradient. Normally, in the finite volume method the discretisation is based on Gauss’s theorem. The Gauss method is sufficiently accurate for most purposes but, in this case, the least squares method will be used. The user should therefore open the fvSchemes dictionary in the system directory and ensure the leastSquares method is selected for the grad(U) gradient discretisation scheme in the gradSchemes sub-dictionary:
16 17d2dt2Schemes 18{ 19 default steadyState; 20} 21 22ddtSchemes 23{ 24 default Euler; 25} 26 27gradSchemes 28{ 29 default leastSquares; 30} 31 32divSchemes 33{ 34 default none; 35 div(sigmaD) Gauss linear; 36} 37 38laplacianSchemes 39{ 40 default Gauss linear corrected; 41} 42 43interpolationSchemes 44{ 45 default linear; 46} 47 48snGradSchemes 49{ 50 default none; 51} 52 53// ************************************************************************* //
The fvSolution dictionary in the system directory controls the linear
equation solvers and algorithms used in the solution. The user
should first look at the solvers sub-dictionary and notice that the
choice of solver for D is GAMG. The solver tolerance should be set to
for this problem. The
solver relative tolerance, denoted by relTol, sets the required reduction in the residuals
within each iteration. It is uneconomical to set a tight (low)
relative tolerance within each iteration since a lot of terms in
each equation are explicit and are updated as part of the
segregated iterative procedure. Therefore a reasonable value for
the relative tolerance is
, or possibly even higher, say
, or in some
cases even
(as in this case).
16 17solvers 18{ 19 "(D|e)" 20 { 21 solver GAMG; 22 tolerance 1e-06; 23 relTol 0.9; 24 smoother GaussSeidel; 25 nCellsInCoarsestLevel 20; 26 } 27} 28 29PIMPLE 30{ 31 compactNormalStress yes; 32} 33 34 35// ************************************************************************* //
2.3.6 Running the code
The user can now try running foamRun in the background of the terminal. When running an OpenFOAM application in the background, the standard output (log information) should be redirected to a file. In the command below, standard output is written to a file named log which can be examined afterwards.
foamRun > log &
.
2.3.7 Post-processing
The solidDisplacementFoam solver outputs the
stress field
as a symmetric tensor field sigma. To post-process individual scalar
field components,
,
etc., the user
can run the foamPostProcess
utility, calling the components function object on the sigma field using the -func option as follows:
foamPostProcess -func "components(sigma)"
stresses can be viewed in ParaView as shown in
Figure 2.23
.
In order to compare the solution to the
analytical solution of Equation 2.7
, data of
must be extracted along the left edge symmetry plane of our domain.
The user may generate the required graph data using the
foamPostProcess utility with
the graphUniform function.
Unlike earlier examples of foamPostProcess where no configuration is
required, this example includes a graphUniform file pre-configured in the
system directory. The sample
line is set between
and
, and the fields are specified in the
fields list:
9 Writes graph data for specified fields along a line, specified by start and 10 end points. A specified number of graph points are used, distributed 11 uniformly along the line. 12 13\*---------------------------------------------------------------------------*/ 14 15start (0 0.5 0.25); 16end (0 2 0.25); 17nPoints 100; 18 19fields (sigmaxx); 20 21axis y; 22 23#includeEtc "caseDicts/functions/graphs/graphUniform.cfg" 24 25// ************************************************************************* //
The user should execute postProcessing with the graphUniform function:
foamPostProcess -func graphUniform
s is found within the file graphUniform/100/line.xy. If the user has
GnuPlot installed they launch
it (by typing gnuplot) and then
plot both the numerical data and analytical solution as follows:
plot [0.5:2] [0:] "postProcessing/graphUniform/100/line.xy",
1e4*(1+(0.125/(x**2))+(0.09375/(x**4)))






stress field in the plate with
hole.

